大学简介
专业介绍
热点问答
体检标准
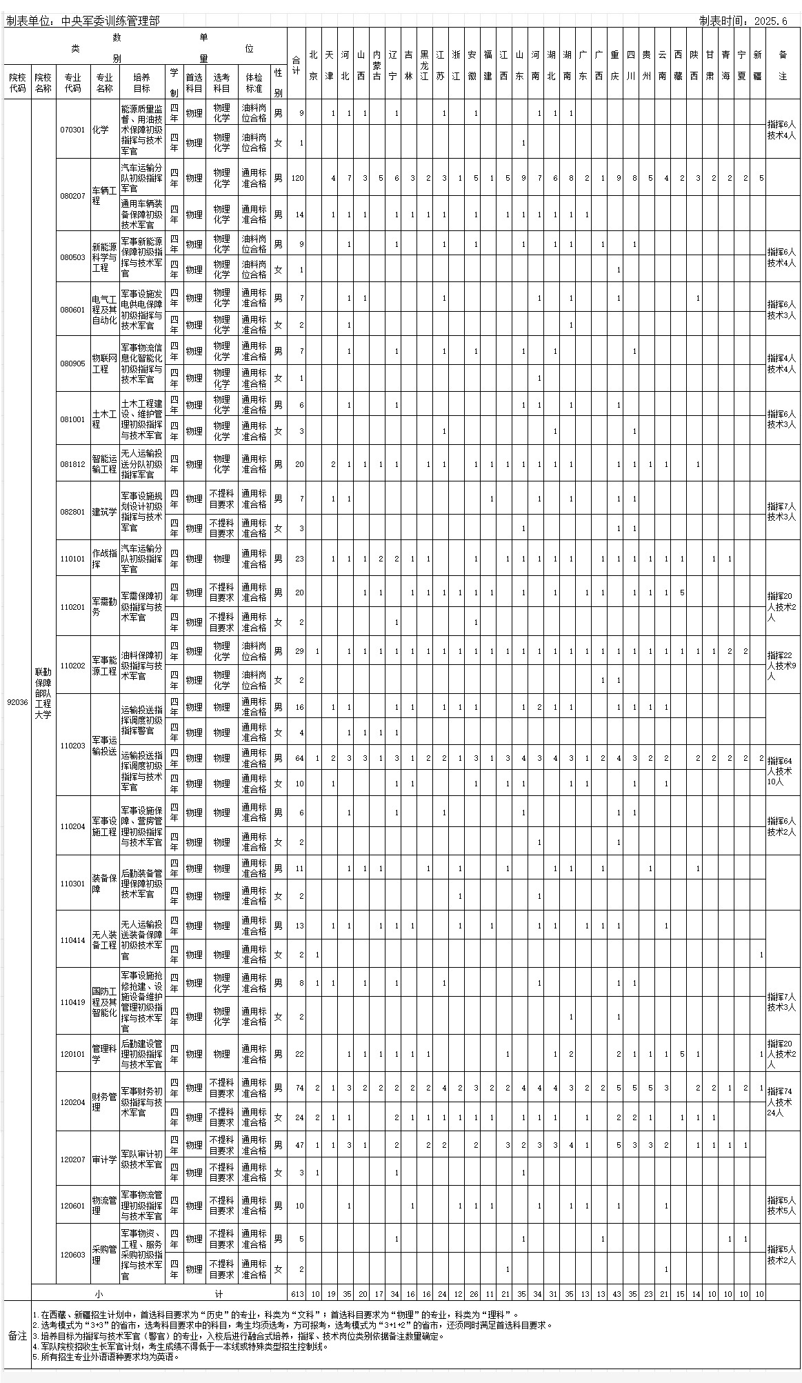
2025年招生计划
历年录取分数线
招生咨询方式
发布者:
华夏招生在线
来源:
联勤保障部队工程大学
分享到:
联勤保障部队工程大学2025年招收普通高中毕业生计划
流量访问统计:
1060420
校园风光